Zum Hauptinhalt springen

Statistische Qualitätssicherung

Sowohl während seiner Entwicklung als auch während seiner Herstellung durchläuft ein Produkt verschiedene Qualifizierungsstufen. Die Sicherstellung seiner technischen Spezifikationen durch prozessintegrierte Meßsysteme und computergestützte Auswerteverfahren stellt für alle Unternehmen eine besondere Herausforderung dar. Besonders Großserien–Hersteller wie PC–, Automobil-, Elektronik- oder Lebensmittelhersteller müssen sich darauf verlassen können, dass die von ihnen verwendeten Komponenten und Zutaten einwandfrei sind. Aber auch der Kunde möchte sicher sein, ein fehlerfreies Produkt zu erwerben. Eventuell erforderlich werdende Garantieleistungen und Rückrufaktionen sind nicht nur mit hohen Kosten sondern auch mit einem erheblichen Vertrauensschwund bei den Kunden verbunden. Aus diesem Grund betreiben fast alle großen Firmen ein umfassendes Qualitätsmanagement, das die mit der Qualitätsüberwachung einhergehenden Geschäftsprozesse koordiniert und die für die Erfassung und Auswertung der Qualitätsdaten erforderlichen Methoden und Verfahren zur Verfügung stellt. Aufgrund der Datenmengen werden dabei auch große Anforderungen an die Informationstechnik gestellt.

Der mit einer Vollkontrolle einhergehende technische und personelle Aufwand steht oftmals in keinem Verhältnis zum Erlös, der mit dem Produkt erzielt werden kann, oder zum Risiko, das mit dem Versagen des Produkts verbunden ist. Hinzu kommt, dass viele Prüfverfahren zerstörenden Charakter haben, weshalb eine Vollkontrolle nicht in Frage kommt. Umfangreiche Tests verlängern außerdem die Durchlaufzeiten durch die Fertigung, was im Rahmen einer schlanken Produktion nicht erwünscht ist. Die mathematischen Verfahren der Gut–Schlecht– Prüfung zielen darauf ab, die mit der Qualitätsüberprüfung verbundenen Kosten aufgrund einer Stichprobenprüfung zu reduzieren und die Möglichkeit einer Fehlentscheidung unter Kontrolle zu halten.

Interaktive Seiten zu Themen der statistischen Qualitätssicherung

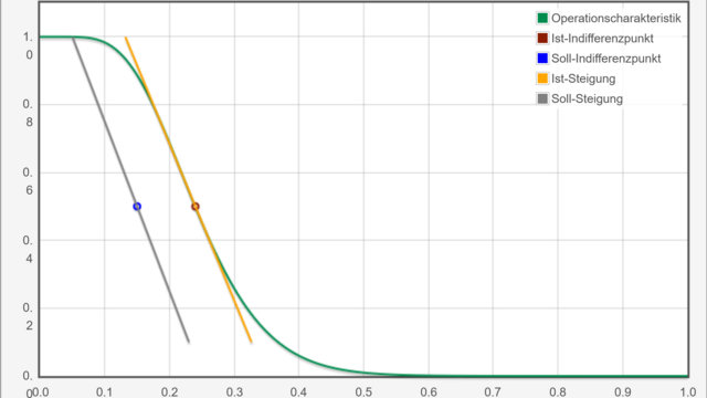
Operationscharakteristik und Algorithmus von Günther
Operationscharakteristik und Algorithmus von Günther

Operationscharakteristik und Algorithmus von Günther

Ermöglicht die Berechnung eines optimalen Stichprobenplans mit Hilfe des Algorithmus von Günther.

Philips Stichprobenplan
Philips Stichprobenplan

Philips Stichprobenplan

Definiert einen Stichprobenplan auf Basis der Steilheit am Indifferenzpunkt.

Durchschlupf
Durchschlupf

Durchschlupf

Erfolgt keine Vollkontrolle einer Lieferung, sondern eine Prüfung auf Basis eines Stichprobenplans, so muss mit einem gewissen Durchschlupf an defekten Teilen